Beta-silicon effect

The beta-silicon effect also called silicon hyperconjugation in organosilicon chemistry is a special type of hyperconjugation and describes the stabilizing effect of a silicon atom placed in a position one removed (β) from a carbocation. A prerequisite is an antiperiplanar relationship between the two groups.[1] Silicon hyperconjugation explains specific observations regarding chemical kinetics and stereochemistry of organic reactions with reactants containing silicon.

The effect is understood in terms of classical hyperconjugation depicted in structure 3 in scheme 1 or in terms of molecular orbital overlap 1 which is a stabilizing overlap between the empty p-orbital of the carbocation and the filled sigma molecular orbital of the silicon to carbon bond.

The alpha-silicon effect is the destabilizing effect of a silicon atom next to a reaction center with a partial positive charge.

In a pioneering study by Frank C. Whitmore[2][3] ethyltrichlorosilane (scheme 2) was chlorinated by sulfuryl chloride as chlorine donor and benzoyl peroxide as radical initiator in a radical substitution resulting in chloride monosubstitution to some extent in the α-position (28%, due to steric hindrance of the silyl group) and predominantly in the β-position.

By adding sodium hydroxide to the α-substituted compound only the silicon chlorine groups are replaced but not the carbon chlorine group. Addition of alkali to the β-substituted compound on the other hand leads to an elimination reaction with liberation of ethylene.

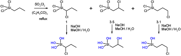
In another set of experiments (scheme 3) the chlorination is repeated with n-propyltrichlorosilane[4] The α-adduct and the γ-adduct are resistant to hydrolysis but the chlorine group in the β-adduct gets replaced by a hydroxyl group.


The silicon effect is also manifest in certain compound properties. Trimethylsilylmethylamine (Me3SiCH2NH2) is a stronger base with a pKa of 10.96 for the conjugate acid than the carbon analogue neopentyl amine with pKa 10.21. In the same vein trimethylsilylacetic acid (pKa 5.22) is a poorer acid than trimethyl acetic acid (pKa 5.00).[1]

References

  1. 1 2 Silicon in Organic Synthesis Colvin, E. Butterworth: London 1981
  2. Organo-silicon Compounds. II.1 Silicon Analogs of Neopentyl Chloride and Neopentyl Iodide. The Alpha Silicon Effect Frank C. Whitmore, Leo H. Sommer J. Am. Chem. Soc.; 1946; 68(3); 481-484. First page
  3. Organo-silicon Compounds. III.1 - and -Chloroalkyl Silanes and the Unusual Reactivity of the Latter Leo H. Sommer, Frank C. Whitmore J. Am. Chem. Soc.; 1946; 68(3); 485-487. First page
  4. The Reactivity with Alkali of Chlorine-Carbon Bonds Alpha, Beta and Gamma to Silicon Leo H. Sommer, Edwin Dorfman, Gershon M. Goldberg, Frank C. Whitmore J. Am. Chem. Soc.; 1946; 68(3); 488-489. Abstract
This article is issued from Wikipedia - version of the 9/13/2015. The text is available under the Creative Commons Attribution/Share Alike but additional terms may apply for the media files.