Collins reagent
| Names | |
|---|---|
| IUPAC name
Pyridine - trioxochromium (2:1) | |
| Identifiers | |
| 3D model (Jmol) | Interactive image |
| ChemSpider | 79908 |
| PubChem | 88565 |
| |
| |
| Properties | |
| C10H10CrN2O3 | |
| Molar mass | 258.194 |
| Except where otherwise noted, data are given for materials in their standard state (at 25 °C [77 °F], 100 kPa). | |
| Infobox references | |
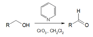
Collins reagent is the complex of chromium(VI) oxide with pyridine in dichloromethane.[1][2] It is used to selectively oxidize primary alcohols to the aldehyde, and will tolerate many other functional groups within the molecule.

It can be used as an alternative to the Jones reagent and pyridinium chlorochromate (PCC) when oxidizing secondary alcohols to ketones. Moreover, the Collins reagent is especially useful for oxidations of acid sensitive compounds.
This complex is both difficult and dangerous to prepare, as it is very hygroscopic and can inflame during preparation. It is typically used in a sixfold excess in order to complete the reaction. Nowadays, PCC or PDC oxidation have largely supplanted Collins oxidation for these reasons.
History
In 1948 several scientists at Illinois Wesleyan University, H.H Sisler, J.D. Bush and O. E. Accountius noted an isolation in the compound with the empirical composition CrO3•2C5H5N, a brick-red complex, from a reaction of anhydrous chromium trioxide with pyridine. G. I. Poos, G. E. Arth, R. E. Beyler and L.H. Sarett in 1953 found the complex in pyridine solution to be an effective reagent for the oxidation of primary and secondary alcohols to aldehydes and ketones. In 1968 J. C. Collins, W. W. Hess, and F. J. Frank found the anhydrous complex is moderately soluble in polar chlorocarbons. They found the solvent of choice was methylene chloride with the solubility of 12.5 g/100 mL. Under those conditions yields of 87-98% of primary and secondary alcohols were oxidized to aldehydes and ketones.[3]
See also
References
- ↑ J. C. Collins, W. W. Hess and F. J. Frank (1968). "Dipyridine-chromium(VI) oxide oxidation of alcohols in dichloromethane". Tetrahedron Lett. 9 (30): 3363–3366. doi:10.1016/S0040-4039(00)89494-0.
- ↑ J. C. Collins, W.W. Hess (1988). "Aldehydes from Primary Alcohols by Oxidation with Chromium Trioxide: Heptanal". Org. Synth.; Coll. Vol., 6, p. 644
- ↑ Ronald Ratcliffe and Ronald Rodehorst (1970). "Improved Procedure for Oxidations with the Chromium Trioxide-Pyridine Complex". J. Org. Chem. 35 (11): 4000–4001. doi:10.1021/jo00836a108.