Gabriel synthesis
| Gabriel synthesis | |
|---|---|
| Named after | Siegmund Gabriel |
| Reaction type | Substitution reaction |
| Identifiers | |
| Organic Chemistry Portal | gabriel-synthesis |
| RSC ontology ID | RXNO:0000103 |
The Gabriel synthesis is a chemical reaction that transforms primary alkyl halides into primary amines. Traditionally, the reaction uses potassium phthalimide.[1][2][3] The reaction is named after the German chemist Siegmund Gabriel.[4]
The Gabriel reaction has been generalized to include the alkylation of sulfonamides and imides, followed by deprotection, to obtain amines (see Alternative Gabriel reagents).[5][6]
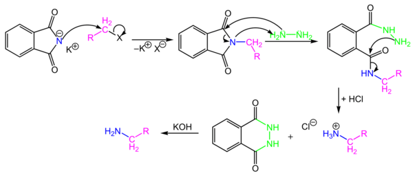
The alkylation of ammonia is often an unselective and inefficient route to amines. In the Gabriel method, phthalimide anion is employed as a surrogate of H2N−.
Traditional Gabriel synthesis
In this method, the sodium or potassium salt of phthalimide is N-alkylated with a primary alkyl halide to give the corresponding N-alkylphthalimide.[7][8][9] The reaction fails with most secondary alkyl halides:
Upon workup by acidic hydrolysis the primary amine is liberated as the amine salt.[10] Alternatively the workup may be via the Ing–Manske procedure, involving reaction with aqueous or ethanolic hydrazine at reflux. This method produces a precipitate of phthalhydrazide along with the primary amine. The first technique often produces bad yields or side products; separation of phthalhydrazide can be unpleasant. For these reasons, other methods for liberating the amine from the phthalimide exist.[11] Even with the use of the hydrazinolysis method, the Gabriel method suffers from relatively harsh conditions.

Alternative Gabriel reagents
Many alternative reagents have been developed to complement the use of phthalimides. Most such reagents, e.g. the sodium salt of saccharin, and di-tert-butyl-iminodicarboxylate. These reagents are electronically similar to the phthalimide salts, consisting of imido nucleophiles.. In terms of their advantages, these reagents hydrolyze more readily, extend the reactivity to secondary alkyl halides, and allow the production of secondary amines.[6]
See also
- Robinson–Gabriel synthesis - also developed by Siegmund Gabriel
- Delépine reaction - primary amines from benzyl or alkyl halides
References
- ↑ Sheehan, J. C.; Bolhofer, V. A. (1950). "An Improved Procedure for the Condensation of Potassium Phthalimide with Organic Halides". J. Am. Chem. Soc. 72 (6): 2786. doi:10.1021/ja01162a527.
- ↑ Gibson, M.S.; Bradshaw, R.W. (1968). "The Gabriel Synthesis of Primary Amines". Angew. Chem. Int. Ed. Engl. 7 (12): 919. doi:10.1002/anie.196809191.
- ↑ Mitsunobu, O. Comp. Org. Syn. 1991, 6, 79–85. (Review)
- ↑ Gabriel, S. (1887). "Ueber eine Darstellung primärer Amine aus den entsprechenden Halogenverbindungen". Ber. 20: 2224. doi:10.1002/cber.18870200227.
- ↑ Hendrickson, J (1975). "New "Gabriel" syntheses of amines". Tetrahedron. 31 (20): 2517. doi:10.1016/0040-4020(75)80263-8.
- 1 2 Ulf Ragnarsson; Leif Grehn (1991). "Novel Gabriel Reagents". Acc. Chem. Res. 24 (10): 285–289. doi:10.1021/ar00010a001.
- ↑ T. O. Soine and M. R. Buchdahl "β-Bromoethylphthalimide" Org. Synth. 1952, volume 32, 18. doi:10.15227/orgsyn.032.0018
- ↑ C. C. DeWitt "γ-Aminobutyric Acid" Org. Synth. 1937, volume 17, 4. doi:10.15227/orgsyn.017.0004
- ↑ Richard H. F. Manske "Benzyl Phthalimide" Org. Synth. 1932, volume 12, 10. doi:10.15227/orgsyn.012.0010
- ↑ Khan, M. N. (1995). "Kinetic Evidence for the Occurrence of a Stepwise Mechanism in the Hydrazinolysis of Phthalimide". J. Org. Chem. 60 (14): 4536. doi:10.1021/jo00119a035.
- ↑ Osby, J. O.; Martin, M. G.; Ganem, B. (1984). "An Exceptionally Mild Deprotection of Phthalimides". Tetrahedron Lett. 25 (20): 2093. doi:10.1016/S0040-4039(01)81169-2.
