Suzuki reaction
| Suzuki reaction | |
|---|---|
| Named after | Akira Suzuki |
| Reaction type | Coupling reaction |
| Identifiers | |
| Organic Chemistry Portal | suzuki-coupling |
| RSC ontology ID | RXNO:0000140 |
The Suzuki reaction is an organic reaction, classified as a coupling reaction, where the coupling partners are a boronic acid and an organohalide catalyzed by a palladium(0) complex.[1][2][3] It was first published in 1979 by Akira Suzuki and he shared the 2010 Nobel Prize in Chemistry with Richard F. Heck and Ei-ichi Negishi for their effort for discovery and development of palladium-catalyzed cross couplings in organic synthesis.[4] In many publications this reaction also goes by the name Suzuki–Miyaura reaction and is also referred to as the Suzuki coupling. It is widely used to synthesize poly-olefins, styrenes, and substituted biphenyls. Several reviews have been published describing advancements and the development of the Suzuki Reaction.[5][6][7] The general scheme for the Suzuki reaction is shown below where a carbon-carbon single bond is formed by coupling an organoboron species (R1-BY2) with a halide (R2-X) using a palladium catalyst and a base.
-
(Eq.1)
Reaction mechanism
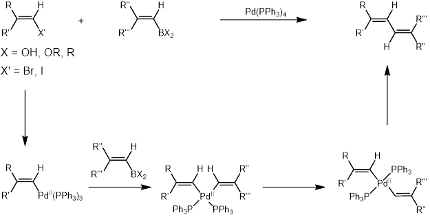
The mechanism of the Suzuki reaction is best viewed from the perspective of the palladium catalyst. The first step is the oxidative addition of palladium to the halide 2 to form the organopalladium species 3. Reaction with base gives intermediate 4, which via transmetalation[8] with the boron-ate complex 6 (produced by reaction of the boronic acid 5 with base) forms the organopalladium species 8. Reductive elimination of the desired product 9 restores the original palladium catalyst 1 which completes the catalytic cycle. The Suzuki coupling takes place in the presence of a base and for a long time the role of the base was never fully understood. The base was first believed to form a trialkyl borate (R3B-OR), in the case of a reaction of an trialkylborane (BR3) and alkoxide (−OR); this species could be considered as being more nucleophilic and then more reactive towards the palladium complex present in the transmetalation step.[9][10][11] Duc and coworkers investigated the role of the base in the reaction mechanism for the Suzuki coupling and they found that the base has three roles: Formation of the palladium complex [ArPd(OR)L2], formation of the trialkyl borate and the acceleration of the reductive elimination step by reaction of the alkoxide with the palladium complex.[9]

Oxidative addition
In most cases the oxidative Addition is the rate determining step of the catalytic cycle.[12] During this step, the palladium catalyst is oxidized from palladium(0) to palladium(II). The palladium catalyst 1 is coupled with the alkyl halide 2 to yield an organopalladium complex 3. As seen in the diagram below, the oxidative addition step breaks the carbon-halogen bond where the palladium is now bound to both the halogen and the R group.

Oxidative addition proceeds with retention of stereochemistry with vinyl halides, while giving inversion of stereochemistry with allylic and benzylic halides.[13] The oxidative addition initially forms the cis–palladium complex, which rapidly isomerizes to the trans-complex.[14]

The Suzuki Coupling occurs with retention of configuration on the double bonds for both the organoboron reagent or the halide.[15] However, the configuration of that double bond, cis or trans is determined by the cis-to-trans isomerization of the palladium complex in the oxidative addition step where the trans palladium complex is the predominant form. When the organoboron is attached to a double bond and it is coupled to an alkenyl halide the product is a diene as shown below.

Transmetalation
Transmetalation is an organometallic reaction where ligands are transferred from one species to another. In the case of the Suzuki coupling the ligands are transferred from the organoboron species 6 to the palladium(II) complex 4 where the base that was added in the prior step is exchanged with the R1 substituent on the organoboron species to give the new palladium(II) complex 8. The exact mechanism of transmetalation for the Suzuki coupling remains to be discovered. The organoboron compounds do not undergo transmetalation in the absence of base and it is therefore widely believed that the role of the base is to activate the organoboron compound as well as facilitate the formation of R2-Pdll-OtBu from R2-Pdll-X.[12]

Reductive elimination
The final step is the reductive elimination step where the palladium(II) complex (8) eliminates the product (9) and regenerates the palladium(0) catalyst(1). Using deuterium labelling, Ridgway et al. have shown the reductive elimination proceeds with retention of stereochemistry.[16]

Advantages
The advantages of Suzuki coupling over other similar reactions are availability of common boronic acids, mild reaction conditions, and its less toxic nature. Boronic acids are less toxic and safer for the environment than organostannane and organozinc compounds. It is easy to remove the inorganic by-products from reaction mixture. Hence, this reaction is beneficial for using relatively cheap and easily prepared reagents. Being able to use water as a solvent[17] makes this reaction more economical, eco-friendly, and capable of using wide variety of water-soluble reagents. A wide variety of reagents can be used for the Suzuki coupling, e.g., aryl- or vinyl-boronic acids and aryl- or vinyl-halides. Work has also extended the scope of the reaction to incorporate alkyl bromides.[18] In addition to many different type of halides being possible for the Suzuki coupling reaction, the reaction also works with pseudohalides such as triflates (OTf), as replacements for halides. The relative reactivity for the coupling partner with the halide or pseudohalide is: R2–I > R2–OTf > R2–Br >> R2–Cl. Boronic esters and organotrifluoroborate salts may be used instead of boronic acids. The catalyst can also be a palladium nanomaterial-based catalyst.[19] With a novel organophosphine ligand (SPhos), a catalyst loading of down to 0.001 mol% has been reported:.[20] These advances and the overall flexibility of the process have made the Suzuki coupling widely accepted for chemical synthesis.
Applications
Industrial applications
The Suzuki coupling reaction is scalable and cost-effective for use in the synthesis of intermediates for pharmaceuticals or fine chemicals.[21] The Suzuki reaction was once limited by high levels of catalyst and the limited availability of boronic acids. Replacements for halides were also found, increasing the number of coupling partners for the halide or pseudohalide as well. Scaled up reactions have been carried out in the synthesis of a number of important biological compounds such as CI-1034 which used a triflate and boronic acid coupling partners which was run on an 80 kilogram scale with a 95% yield.[22]

Another example is the coupling of 3-pyridylborane and 1-bromo-3-(methylsulfonyl)benzene that formed an intermediate that was used in the synthesis of a potential central nervous system agent. The coupling reaction to form the intermediate was run on to give the product (278 kilograms) in a 92.5% yield.[15][21]

Synthetic applications
The Suzuki coupling has been frequently used in syntheses of complex compounds.[23][24] The Suzuki coupling has been used on a citronellal derivative for the synthesis of caparratriene, a natural product that is highly active against leukemia:[25]

Variations
Metal catalyst
Various catalysts have been developed for metals other than palladium, especially nickel.[26] The first nickel catalyzed cross-coupling reaction was reported by Percec and co-workers in 1995 using aryl mesylates and boronic acids.[27] Even though a higher amount of nickel catalyst was needed for the reaction, around 5 mol %, nickel is not considered as expensive or as precious of a metal as palladium. The nickel catalyzed Suzuki coupling reaction also allowed a number of compounds that did not work or worked worse for the palladium catalyzed system than the nickel-catalyzed system.[26] The use of nickel catalysts has allowed for electrophiles that proved challenging for the original Suzuki coupling using palladium, including substrates such as phenols, aryl ethers, esters, phosphates, and fluorides.[26]

Investigation into the nickel catalyzed cross-coupling continued and increased the scope of the reaction after these first examples were shown and the research interest grew. Miyaura and Inada reported in 2000 that a cheaper nickel catalyst could be utilize for the cross-coupling, using triphenylphosphine (PPh3) instead of the more expensive ligands previously used.[28] However, the nickel-catalyzed cross-coupling still required high catalyst loadings (3-10%), required excess ligand (1-5 equivalents) and remained sensitive to air and moisture.[26] Advancements by Han and co-workers have tried to address that problem by developing a method using low amounts of nickel catalyst (<1 mol%) and no additional equivalents of ligand.[29]

It was also reported by Wu and co-workers in 2011 that a highly active nickel catalyst for the cross-coupling of aryl chlorides could be used that only required 0.01-0.1 mol% of nickel catalyst. They also showed that the catalyst could be recycled up to six times with virtually no loss in catalytic activity.[30] The catalyst was recyclable because it was a phosphine nickel nanoparticle catalyst (G3DenP-Ni) that was made from dendrimers.

Advantages and disadvantages apply to both the palladium and nickel-catalyzed Suzuki coupling reactions. Apart from Pd and Ni catalyst system, cheap and non-toxic metal sources like iron and copper[31] have been used in Suzuki coupling reaction. The Bedford research group[32] and the Nakamura research group[33] have extensively worked on developing the methodology of iron catalyzed Suzuki coupling reaction. Ruthenium is another metal source that has been used in Suzuki coupling reaction.[34]
Amide coupling
Nickel catalysis can construct C-C bonds from amides. Despite the inherently inert nature of amides as synthons, the following methodology can be used to prepare C-C bonds. The coupling procedure is mild and tolerant of a myriad of functional groups, including: amines, ketones, heterocycles, groups with acidic protons. This technique can also be used to prepare bioactive molecules and to unite heterocycles in controlled ways through shrewd sequential cross-couplings. A general review of the reaction scheme is given below.[35]

The synthesis of the tubulin binding compound (antiproliferative agent) was carried out using trimethoxyamide and a heterocyclic fragment.[35]

Organoboranes
Aryl boronic acids are comparatively cheaper than other organoboranes and a wide variety of aryl boronic acids are commercially available. Hence, it has been widely used in Suzuki reaction as an organoborane partner. Aryltrifluoroborate salts are another class of organoboranes that are frequently used because they are less prone to protodeboronation compared to aryl boronic acids. They are easy to synthesize and can be easily purified.[36] Aryltrifluoroborate salts can be formed from boronic acids by the treatment with potassium hydrogen fluoride which can then be used in the Suzuki coupling reaction.[37]


Other variations
Suzuki coupling reaction is different than other coupling reactions regarding the fact that this reaction can be run in biphasic(aqueous and organic),[38] only in aqueous environments[17] or without solvent.[39] This increased the scope of coupling reaction. Variety of water-soluble bases, catalyst systems, and reagents can be used without the concern of solubility in organic solvent system. Water, as a solvent system, is also attractive because of the economy and safety. Frequently used solvent system includes toluene,[40] THF,[41] dioxane,[41] and dimethylformamide[42] but are not limited to these. Additionally, a wide variety of bases are implemented in Suzuki coupling reaction. Most frequently used bases are K2CO3,[38] KOtBu,[43] Cs2CO3,[44] K3PO4,[45] NaOH,[46] and NEt3.[47]
See also
- Chan-Lam coupling
- Heck reaction
- Hiyama coupling
- Kumada coupling
- Negishi coupling
- Petasis reaction
- Sonogashira coupling
- Stille reaction
- List of organic reactions
References
- ↑ Miyaura, Norio; Yamada, Kinji; Suzuki, Akira (1979). "A new stereospecific cross-coupling by the palladium-catalyzed reaction of 1-alkenylboranes with 1-alkenyl or 1-alkynyl halides". Tetrahedron Letters. 20 (36): 3437–3440. doi:10.1016/S0040-4039(01)95429-2.
- ↑ Miyaura, Norio; Suzuki, Akira (1979). "Stereoselective synthesis of arylated (E)-alkenes by the reaction of alk-1-enylboranes with aryl halides in the presence of palladium catalyst". Chem. Comm. (19): 866–867. doi:10.1039/C39790000866.
- ↑ Miyaura, Norio; Suzuki, Akira (1995). "Palladium-Catalyzed Cross-Coupling Reactions of Organoboron Compounds". Chemical Reviews. 95 (7): 2457–2483. doi:10.1021/cr00039a007.
- ↑ Nobelprize.org. "The Nobel Prize in Chemistry 2010". Nobel Prize Foundation. Retrieved 2013-10-25.
- ↑ Suzuki, Akira (1991). "Synthetic Studies via the cross-coupling reaction of organoboron derivatives with organic halides". Pure & Appl. Chem. 63 (3): 419–422. doi:10.1351/pac199163030419.
- ↑ Miyaura, Norio; Suzuki, Akira (1979). "Palladium-Catalyzed Cross-Coupling Reactions of Organoboron Compounds". Chemical Reviews. 95 (7): 2457–2483. doi:10.1021/cr00039a007.(Review)
- ↑ Suzuki, Akira (1999). "Recent advances in the cross-coupling reactions of organoboron derivatives with organic electrophiles, 1995–1998". Journal of Organometallic Chemistry. 576: 147–168. doi:10.1016/S0022-328X(98)01055-9.
- ↑ Matos, K.; Soderquist, J. A. J. Org. Chem. 1998, 63, 461–470. (doi:10.1021/jo971681s)
- 1 2 Amatore, Christian; Jutand, Anny; Le Duc, Gaëtan (18 February 2011). "Kinetic Data for the Transmetalation/Reductive Elimination in Palladium-Catalyzed Suzuki-Miyaura Reactions: Unexpected Triple Role of Hydroxide Ions Used as Base". Chemistry: A European Journal. 17 (8): 2492–2503. doi:10.1002/chem.201001911.
- ↑ Smith, George B.; Dezeny, George C.; Hughes, David L.; King, Anthony O.; Verhoeven, Thomas R. (1 December 1994). "Mechanistic Studies of the Suzuki Cross-Coupling Reaction". The Journal of Organic Chemistry. 59 (26): 8151–8156. doi:10.1021/jo00105a036.
- ↑ Matos, Karl; Soderquist, John A. (1 February 1998). "Alkylboranes in the Suzuki−Miyaura Coupling: Stereochemical and Mechanistic Studies". The Journal of Organic Chemistry. 63 (3): 461–470. doi:10.1021/jo971681s. PMID 11672034.
- 1 2 Kurti, Laszlo (2005). Strategic Applications of Named Reactions in Organic Synthesis. Elsevier Academic Press. ISBN 978-0124297852.
- ↑ Stille, John K.; Lau, Kreisler S. Y. (1977). "Mechanisms of oxidative addition of organic halides to Group 8 transition-metal complexes". Accounts of Chemical Research. 10 (12): 434–442. doi:10.1021/ar50120a002.
- ↑ Casado, Arturo L.; Espinet, Pablo (1998). "On the Configuration Resulting from Oxidative Addition of RX to Pd(PPh3)4and the Mechanism of thecis-to-transIsomerization of \PdRX(PPh3)2] Complexes (R = Aryl, X = Halide)†". Organometallics. 17 (5): 954–959. doi:10.1021/om9709502.
- 1 2 Advanced Organic Chemistry. Springer. 2007. pp. 739–747.
- ↑ Ridgway, Brian H.; Woerpel, K. A. (1998). "Transmetalation of Alkylboranes to Palladium in the Suzuki Coupling Reaction Proceeds with Retention of Stereochemistry". The Journal of Organic Chemistry. 63 (3): 458–460. doi:10.1021/jo970803d. PMID 11672033.
- 1 2 Casalnuovo, Albert L.; Calabrese (1990). "Palladium-catalyzed alkylations in aqueous media". J. Am. Chem. Soc. 112 (11): 4324–4330. doi:10.1021/ja00167a032.
- ↑ Kirchhoff, Jan H.; Netherton, Matthew R.; Hills, Ivory D.; Fu, Gregory C. (2002). "Boronic Acids: New Coupling Partners in Room-Temperature Suzuki Reactions of Alkyl Bromides. Crystallographic Characterization of an Oxidative-Addition Adduct Generated under Remarkably Mild Conditions". Journal of the American Chemical Society. 124 (46): 13662–3. doi:10.1021/ja0283899. PMID 12431081.
- ↑ Ohtaka, Atsushi (2013). "Recyclable Polymer-Supported Nanometal Catalysts in Water". The Chemical Record. 13 (3): 274–285. doi:10.1002/tcr.201300001.
- ↑ Martin, R.; Buchwald, S. L., "Palladium-Catalyzed Suzuki−Miyaura Cross-Coupling Reactions Employing Dialkylbiaryl Phosphine Ligands", Accounts of Chemical Research 2008, 41, 1461-1473. doi:10.1021/ar800036s
- 1 2 Rouhi, A. Maureen (6 September 2004). "Fine Chemicals". C&EN.
- ↑ Jacks1, Thomas E.; Belmont, Daniel T.; Briggs, Christopher A.; Horne, Nicole M.; Kanter, Gerald D.; Karrick, Greg L.; Krikke, James J.; McCabe, Richard J.; Mustakis; Nanninga, Thomas N. (1 March 2004). "Development of a Scalable Process for CI-1034, an Endothelin Antagonist". Organic Process Research & Development. 8 (2): 201–212. doi:10.1021/op034104g.
- ↑ Balog, Aaron; Meng, Dongfang; Kamenecka, Ted; Bertinato, Peter; Su, Dai-Shi; Sorensen, Erik J.; Danishefsky, Samuel J. (1996). "Total Synthesis of(–)-Epothilone A". Angewandte Chemie International Edition in English. 35 (2324): 2801–2803. doi:10.1002/anie.199628011.
- ↑ Liu, Junjia; Lotesta, Stephen D.; Sorensen, Erik J. (2011). "A concise synthesis of the molecular framework of pleuromutilin". Chemical Communications. 47 (5): 1500–2. doi:10.1039/C0CC04077K. PMC 3156455
. PMID 21079876. - ↑ Vyvyan, J.R.; Peterson, Emily A.; Stephan, Mari L. (1999). "An expedient total synthesis of (+/−)-caparratriene". Tetrahedron Letters. 40 (27): 4947–4949. doi:10.1016/S0040-4039(99)00865-5. Retrieved 2008-01-02.
- 1 2 3 4 Han, Fu-She (1 January 2013). "Transition-metal-catalyzed Suzuki–Miyaura cross-coupling reactions: a remarkable advance from palladium to nickel catalysts". Chemical Society Reviews. 42 (12): 5270–98. doi:10.1039/c3cs35521g. PMID 23460083.
- ↑ Percec, Virgil; Bae, Jin-Young; Hill, Dale (1995). "Aryl Mesylates in Metal Catalyzed Homocoupling and Cross-Coupling Reactions. 2. Suzuki-Type Nickel-Catalyzed Cross-Coupling of Aryl Arenesulfonates and Aryl Mesylates with Arylboronic Acids". Journal of Organic Chemistry. 60 (4): 1060–1065. doi:10.1021/jo00109a044.
- ↑ Inada, Kaoru; Norio Miyaura (2000). "Synthesis of Biaryls via Cross-Coupling Reaction of Arylboronic Acids with Aryl Chlorides Catalyzed by NiCl2/Triphenylphosphine Complexes". Tetrahedron. 56 (44): 8657–8660. doi:10.1016/S0040-4020(00)00814-0.
- ↑ Zhao, Yu-Long; Li, You; Li, Shui-Ming; Zhou, Yi-Guo; Sun, Feng-Yi; Gao, Lian-Xun; Han, Fu-She (1 June 2011). "A Highly Practical and Reliable Nickel Catalyst for Suzuki-Miyaura Coupling of Aryl Halides". Advanced Synthesis & Catalysis. 353 (9): 1543–1550. doi:10.1002/adsc.201100101.
- ↑ Wu, Lei; Ling, Jie; Wu, Zong-Quan (1 June 2011). "A Highly Active and Recyclable Catalyst: Phosphine Dendrimer-Stabilized Nickel Nanoparticles for the Suzuki Coupling Reaction". Advanced Synthesis & Catalysis. 353 (9): 1452–1456. doi:10.1002/adsc.201100134.
- ↑ Yang, C.T.; Zhang, Zhen-Qi; Liu, Yu-Chen; Liu, Lei (2011). "Copper-Catalyzed Cross-Coupling Reaction of Organoboron Compounds with Primary Alkyl Halides and Pseudohalides". Angew. Chem. Int. Ed. 50 (17): 3904–3907. doi:10.1002/anie.201008007.
- ↑ Bredford, R.B.; Hall, Mark A.; Hodges, George R.; Huwe, Michael; Wilkinson, Mark C. (2009). "Simple mixed Fe–Zn catalysts for the Suzuki couplings of tetraarylborates with benzyl halides and 2-halopyridines". Chem. Commun. (42): 6430–6432. doi:10.1039/B915945B.
- ↑ Nakamura, M; Hashimoto, Toru; Kathriarachchi, Kalum K. A. D. S.; Zenmyo, Takeshi; Seike, Hirofumi; Nakamura, Masaharu (2012). "Iron-Catalyzed Alkyl-Alkyl Suzuki-Miyaura Coupling". Angew. Chem. Int. Ed. 51 (35): 8834–883. doi:10.1002/anie.201202797.
- ↑ Na, Y; Park, Soyoung; Han, Soo Bong; Han, Hoon; Ko, Sangwon; Chang, Sukbok (2004). "Ruthenium-Catalyzed Heck-Type Olefination and Suzuki Coupling Reactions: Studies on the Nature of Catalytic Species". J. Am. Chem. Soc. 126 (1): 250–258. doi:10.1021/ja038742q. PMID 14709090.
- 1 2 Weires, Nicholas A.; Baker, Emma L.; Garg, Neil K. (2015). "Nickel-catalysed Suzuki–Miyaura coupling of amides". Nature Chemistry. 8 (1): 75–79. Bibcode:2016NatCh...8...75W. doi:10.1038/nchem.2388. PMID 26673267.
- ↑ Molander, Gary A.; Biolatto, Betina (2003). "Palladium-Catalyzed Suzuki−Miyaura Cross-Coupling Reactions of Potassium Aryl- and Heteroaryltrifluoroborates". J. Org. Chem. 68 (11): 4302–4314. doi:10.1021/jo0342368. PMID 12762730.
- ↑ Bates, Roderick (2012). Organic Synthesis Using Transition Metals. Wiley. ISBN 978-1119978930.
- 1 2 Dolliver, Debra; Bhattarai, Bijay T.; Pandey, Arjun; Lanier, Megan L.; Bordelon, Amber S.; Adhikari, Sarju; Dinser, Jordan A.; Flowers, Patrick F.; Wills, Veronica S.; Schneider, Caroline L.; Shaughnessy, Kevin H.; Moore, Jane N.; Raders, Steven M.; Snowden, Timothy S.; McKim, Artie S.; Fronczek, Frank R. (2013). "Stereospecific Suzuki, Sonogashira, and Negishi Coupling Reactions of N-Alkoxyimidoyl Iodides and Bromides". J. Org. Chem. 78 (8): 3676–3687. doi:10.1021/jo400179u. PMID 23534335.
- ↑ Asachenko, Andrey; Sorochkina, Kristina; Dzhevakov, Pavel; Topchiy, Maxim; Nechaev, Mikhail (2013). "Suzuki–Miyaura Cross-Coupling under Solvent-Free Conditions". Adv. Synth. Catal. 355 (18): 3553–3557. doi:10.1002/adsc.201300741.
- ↑ Pan, Changduo; Liu, Zhang; Wu, Huayue; Din, Jinchang; Cheng, Jiang (2008). "Palladium catalyzed ligand-free Suzuki cross-coupling reaction". Catalysis Communications. 9 (4): 321–323. doi:10.1016/j.catcom.2007.06.022.
- 1 2 Littke, Adam F.; Fu (2000). "Versatile Catalysts for the Suzuki Cross-Coupling of Arylboronic Acids with Aryl and Vinyl Halides and Triflates under Mild Conditions". J. Am. Chem. Soc. 122 (17): 4020–4028. doi:10.1021/ja0002058.
- ↑ Hu, Ming-Gang; Wei,, Song; Jian, Ai-Ai (2007). "Highly Efficient Pd/C-Catalyzed Suzuki Coupling Reaction ofp-(un)Substituted Phenyl Halide with (p-Substituted phenyl) Boronic Acid". Chinese Journal of Chemistry. 25 (8): 1183–1186. doi:10.1002/cjoc.200790220.
- ↑ Saito, B; Fu (2007). "Alkyl−Alkyl Suzuki Cross-Couplings of Unactivated Secondary Alkyl Halides at Room Temperature". J. Am. Chem. Soc. 129 (31): 9602–9603. doi:10.1021/ja074008l. PMC 2569998
. PMID 17628067. - ↑ Kingston, J.V.; Verkade, John G. (2007). "Synthesis and Characterization of R2PNP(iBuNCH2CH2)3N: A New Bulky Electron-Rich Phosphine for Efficient Pd-Assisted Suzuki−Miyaura Cross-Coupling Reactions". J. Org. Chem. 72 (8): 2816–2822. doi:10.1021/jo062452l. PMID 17378611.
- ↑ Baillie, C; Zhang, Lixin; Xiao, Jianliang (2004). "Ferrocenyl Monophosphine Ligands: Synthesis and Applications in the Suzuki−Miyaura Coupling of Aryl Chlorides". J. Org. Chem. 69 (22): 7779–7782. doi:10.1021/jo048963u. PMID 15498017.
- ↑ Han, J; Liu, Y; Guo, R (2009). "Facile synthesis of highly stable gold nanoparticles and their unexpected excellent catalytic activity for Suzuki-Miyaura cross-coupling reaction in water". J. Am. Chem. Soc. 131 (6): 2060–2061. doi:10.1021/ja808935n. PMID 19170490.
- ↑ Lipshutz, B.H.; Petersen, Tue B.; Abela, Alexander R. (2008). "Room-Temperature Suzuki−Miyaura Couplings in Water Facilitated by Nonionic Amphiphiles†". Org. Lett. 10 (7): 1333–1336. doi:10.1021/ol702714y. PMID 18335944.
External links
- "Mechanism In Motion: Suzuki coupling".
- Suzuki coupling
- A Bit of Boron, a Pinch of Palladium: One-Stop Shop for the Suzuki Reaction