Triphenylmethyl radical
![]() | |
![]() | |
| Identifiers | |
|---|---|
| 3D model (Jmol) | Interactive image Interactive image |
| ChemSpider | 10627185 |
| |
| |
| Properties | |
| C19H15 | |
| Molar mass | 243.33 g·mol−1 |
| Except where otherwise noted, data are given for materials in their standard state (at 25 °C [77 °F], 100 kPa). | |
| | |
| Infobox references | |
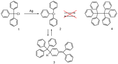
The triphenylmethyl radical (often shorted to trityl radical) is a persistent radical and the first radical ever described in organic chemistry. It can be prepared by homolysis of triphenylmethyl chloride 1 (scheme 1) by a metal like silver or zinc in benzene or diethyl ether. The radical 2 forms a chemical equilibrium with the quinoid type dimer 3(3-triphenylmethyl-6-diphenylmethylidene-1,4-cyclohexadiene). In benzene the concentration of the radical is 2%.[1]

Solutions containing the radical are yellow and when the temperature of the solution is raised the yellow color becomes more intense as the equilibrium is shifted in favor of the radical following Le Chatelier's principle.
When exposed to air the radical rapidly oxidizes to the peroxide (Scheme 2) and the color of the solution changes from yellow to colorless. Likewise, the radical reacts with iodine to triphenylmethyl iodide.

The radical was discovered by Moses Gomberg in 1900 at the University of Michigan.[2][3][4] He tried to prepare hexaphenylethane from triphenylmethyl chloride and zinc in benzene in a Wurtz reaction and found that the product, based on its behaviour towards iodine and oxygen, was far more reactive than anticipated.
The correct quinoid structure for the dimer was suggested as early as 1904 but this structure was soon after abandoned by the scientific community in favor of hexaphenylethane which is structure 4 in scheme 1.[5] It subsequently took until 1968 for its rediscovery when researchers at the Vrije Universiteit Amsterdam published proton NMR data.[6]
While the trityl radical forms a quinoid dimer, derivatives thereof with the appropriate substitution pattern do form dimers with a hexaphenylethane structure. X-ray studies give a bond length of 1.67 angstrom for hexakis(3,5-di-t-butylphenyl)ethane. Theoretical calculations on a very high level of theory indicate that van-der-Waals attraction between the tert-butyl groups create a potential minimum that is absent in the unsubstituted molecule.[7][8] Other derivatives have been reported as the quinoid dimer [9]
See also
- Triphenylmethyl hexafluorophosphate
- Triphenylmethane
- Triphenylmethyl chloride
- Triphenylmethanol
- Triarylmethane dye
- 3-triphenylmethyl-6-diphenylmethylidene-1,4-cyclohexadiene
- hexaphenylethane
References
- ↑ Advanced Organic Chemistry J. March, John Wiley & Sons ISBN 0-471-88841-9
- ↑ M. Gomberg (1900). "An instance of trivalent carbon: triphenylmethyl". J. Am. Chem. Soc. 22 (11): 757–771. doi:10.1021/ja02049a006.
- ↑ M. Gomberg (1901). "On trivalent carbon". J. Am. Chem. Soc. 23 (7): 496–502. doi:10.1021/ja02033a015. (Note: radical is also called a cadicle)
- ↑ M. Gomberg (1902). "On trivalent carbon". J. Am. Chem. Soc. 24 (7): 597–628. doi:10.1021/ja02021a001.
- ↑ J. M. McBride (1974). "The hexaphenylethane riddle". Tetrahedron. 30 (14): 2009–2022. doi:10.1016/S0040-4020(01)97332-6.
- ↑ H. Lankamp, W. Th. Nauta and C. MacLean (1968). "A new interpretation of the monomer-dimer equilibrium of triphenylmethyl- and alkylsubstituted-diphenyl methyl-radicals in solution". Tetrahedron Letters. 9 (2): 249–254. doi:10.1016/S0040-4039(00)75598-5.
- ↑ Lewars, Errol (2008), "8 – Hexaphenylethane", Modeling Marvels, Springer
- ↑ Stefan Grimme and Peter R. Schreiner (2011). "Steric crowding can stabilize a labile molecule: Solving the hexaphenylethane riddle". Angew. Chem. Int. Ed. 50: 12639–12642. doi:10.1002/anie.201103615.
- ↑ Uchimura, Y.; Takeda, T.; Katoono, R.; Fujiwara, K.; Suzuki, T. (2015). "New Insights into the Hexaphenylethane Riddle: Formation of an α,o-Dimer.". Angew. Chem. Int. Ed. doi:10.1002/anie.201500122.

