Universal property
In various branches of mathematics, a useful construction is often viewed as the “most efficient solution” to a certain problem. The definition of a universal property uses the language of category theory to make this notion precise and to study it abstractly.
This article gives a general treatment of universal properties. To understand the concept, it is useful to study several examples first, of which there are many: all free objects, direct product and direct sum, free group, free lattice, Grothendieck group, Dedekind-MacNeille completion, product topology, Stone–Čech compactification, tensor product, inverse limit and direct limit, kernel and cokernel, pullback, pushout and equalizer.
Motivation
Before giving a formal definition of universal properties, we offer some motivation for studying such constructions.
- The concrete details of a given construction may be messy, but if the construction satisfies a universal property, one can forget all those details: all there is to know about the construct is already contained in the universal property. Proofs often become short and elegant if the universal property is used rather than the concrete details. For example, the tensor algebra of a vector space is slightly painful to actually construct, but using its universal property makes it much easier to deal with.
- Universal properties define objects uniquely up to a unique isomorphism.[1] Therefore, one strategy to prove that two objects are isomorphic is to show that they satisfy the same universal property.
- Universal constructions are functorial in nature: if one can carry out the construction for every object in a category C then one obtains a functor on C. Furthermore, this functor is a right or left adjoint to the functor U used in the definition of the universal property.[2]
- Universal properties occur everywhere in mathematics. By understanding their abstract properties, one obtains information about all these constructions and can avoid repeating the same analysis for each individual instance.
Formal definition
Suppose that U: D → C is a functor from a category D to a category C, and let X be an object of C. Consider the following dual (opposite) notions:
An initial morphism from X to U is an initial object in the category of morphisms from X to U. In other words, it consists of a pair (A, Φ) where A is an object of D and Φ: X → U(A) is a morphism in C, such that the following initial property is satisfied:
- Whenever Y is an object of D and f: X → U(Y) is a morphism in C, then there exists a unique morphism g: A → Y such that the following diagram commutes:

A terminal morphism from U to X is a terminal object in the comma category of morphisms from U to X. In other words, it consists of a pair (A, Φ) where A is an object of D and Φ: U(A) → X is a morphism in C, such that the following terminal property is satisfied:
- Whenever Y is an object of D and f: U(Y) → X is a morphism in C, then there exists a unique morphism g: Y → A such that the following diagram commutes:

The term universal morphism[3] refers either to an initial morphism or a terminal morphism, and the term universal property refers either to an initial property or a terminal property. In each definition, the existence of the morphism g intuitively expresses the fact that (A, Φ) is "general enough", while the uniqueness of the morphism ensures that (A, Φ) is "not too general".
Duality
Since the notions of initial and terminal are dual, it is often enough to discuss only one of them, and simply reverse arrows in C for the dual discussion. Alternatively, the word universal is often used in place of both words.
Note: some authors may call only one of these constructions a universal morphism and the other one a co-universal morphism. Which is which depends on the author, although in order to be consistent with the naming of limits and colimits the latter construction should be named universal and the former couniversal. This article uses the unambiguous terminology of initial and terminal objects.
Examples
Below are a few examples, to highlight the general idea. The reader can construct numerous other examples by consulting the articles mentioned in the introduction.
Tensor algebras
Let C be the category of vector spaces K-Vect over a field K and let D be the category of algebras K-Alg over K (assumed to be unital and associative). Let
- U : K-Alg → K-Vect
be the forgetful functor which assigns to each algebra its underlying vector space.
Given any vector space V over K we can construct the tensor algebra T(V) of V. The tensor algebra is characterized by the fact:
- “Any linear map from V to an algebra A can be uniquely extended to an algebra homomorphism from T(V) to A.”
This statement is an initial property of the tensor algebra since it expresses the fact that the pair (T(V), i), where i : V → T(V) is the inclusion map, is an initial morphism from the vector space V to the functor U.
Since this construction works for any vector space V, we conclude that T is a functor from K-Vect to K-Alg. This means that T is left adjoint to the forgetful functor U (see the section below on relation to adjoint functors).
Products
A categorical product can be characterized by a terminal property. For concreteness, one may consider the Cartesian product in Set, the direct product in Grp, or the product topology in Top, where products exist.
Let X and Y be objects of a category D. The product of X and Y is an object X × Y together with two morphisms
- π1 : X × Y → X
- π2 : X × Y → Y
such that for any other object Z of D and morphisms f : Z → X and g : Z → Y there exists a unique morphism h : Z → X × Y such that f = π1∘h and g = π2∘h.
To understand this characterization as a terminal property we take the category C to be the product category D × D and define the diagonal functor
- Δ : D → D × D
by Δ(X) = (X, X) and Δ(f : X → Y) = (f, f). Then (X × Y, (π1, π2)) is a terminal morphism from Δ to the object (X, Y) of D × D: If (f, g) is any morphism from (Z, Z) to (X, Y), then it must equal a morphism Δ(h : Z → X × Y) = (h, h) from Δ(Z) = (Z, Z) to Δ(X × Y) = (X × Y,X × Y), followed by (π1, π2).
Limits and colimits
Categorical products are a particular kind of limit in category theory. One can generalize the above example to arbitrary limits and colimits.
Let J and C be categories with J a small index category and let CJ be the corresponding functor category. The diagonal functor
- Δ : C → CJ
is the functor that maps each object N in C to the constant functor Δ(N): J → C to N (i.e. Δ(N)(X) = N for each X in J).
Given a functor F : J → C (thought of as an object in CJ), the limit of F, if it exists, is nothing but a terminal morphism from Δ to F. Dually, the colimit of F is an initial morphism from F to Δ.
Properties
Existence and uniqueness
Defining a quantity does not guarantee its existence. Given a functor U and an object X as above, there may or may not exist an initial morphism from X to U. If, however, an initial morphism (A, φ) does exist then it is essentially unique. Specifically, it is unique up to a unique isomorphism: if (A′, φ′) is another such pair, then there exists a unique isomorphism k: A → A′ such that φ′ = U(k)φ. This is easily seen by substituting (A′, φ′) for (Y, f) in the definition of the initial property.
It is the pair (A, φ) which is essentially unique in this fashion. The object A itself is only unique up to isomorphism. Indeed, if (A, φ) is an initial morphism and k: A → A′ is any isomorphism then the pair (A′, φ′), where φ′ = U(k)φ, is also an initial morphism.
Equivalent formulations
The definition of a universal morphism can be rephrased in a variety of ways. Let U be a functor from D to C, and let X be an object of C. Then the following statements are equivalent:
- (A, φ) is an initial morphism from X to U
- (A, φ) is an initial object of the comma category (X ↓ U)
- (A, φ) is a representation of HomC(X, U—)
The dual statements are also equivalent:
- (A, φ) is a terminal morphism from U to X
- (A, φ) is a terminal object of the comma category (U ↓ X)
- (A, φ) is a representation of HomC(U—, X)
Relation to adjoint functors
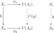
Suppose (A1, φ1) is an initial morphism from X1 to U and (A2, φ2) is an initial morphism from X2 to U. By the initial property, given any morphism h: X1 → X2 there exists a unique morphism g: A1 → A2 such that the following diagram commutes:

If every object Xi of C admits an initial morphism to U, then the assignment and defines a functor V from C to D. The maps φi then define a natural transformation from 1C (the identity functor on C) to UV. The functors (V, U) are then a pair of adjoint functors, with V left-adjoint to U and U right-adjoint to V.
Similar statements apply to the dual situation of terminal morphisms from U. If such morphisms exist for every X in C one obtains a functor V: C → D which is right-adjoint to U (so U is left-adjoint to V).
Indeed, all pairs of adjoint functors arise from universal constructions in this manner. Let F and G be a pair of adjoint functors with unit η and co-unit ε (see the article on adjoint functors for the definitions). Then we have a universal morphism for each object in C and D:
- For each object X in C, (F(X), ηX) is an initial morphism from X to G. That is, for all f: X → G(Y) there exists a unique g: F(X) → Y for which the following diagrams commute.
- For each object Y in D, (G(Y), εY) is a terminal morphism from F to Y. That is, for all g: F(X) → Y there exists a unique f: X → G(Y) for which the following diagrams commute.

Universal constructions are more general than adjoint functor pairs: a universal construction is like an optimization problem; it gives rise to an adjoint pair if and only if this problem has a solution for every object of C (equivalently, every object of D).
History
Universal properties of various topological constructions were presented by Pierre Samuel in 1948. They were later used extensively by Bourbaki. The closely related concept of adjoint functors was introduced independently by Daniel Kan in 1958.
See also
Notes
- ↑ Jacobson (2009), Proposition 1.6, p. 44.
- ↑ See for example, Polcino & Sehgal (2002), p. 133. exercise 1, about the universal property of group rings.
- ↑ It is also called a universal arrow; for example in (Mac Lane 1998, Ch. III, § 1.)
References
- Paul Cohn, Universal Algebra (1981), D.Reidel Publishing, Holland. ISBN 90-277-1213-1.
- Mac Lane, Saunders, Categories for the Working Mathematician 2nd ed. (1998), Graduate Texts in Mathematics 5. Springer. ISBN 0-387-98403-8.
- Borceux, F. Handbook of Categorical Algebra: vol 1 Basic category theory (1994) Cambridge University Press, (Encyclopedia of Mathematics and its Applications) ISBN 0-521-44178-1
- N. Bourbaki, Livre II : Algèbre (1970), Hermann, ISBN 0-201-00639-1.
- Milies, César Polcino; Sehgal, Sudarshan K.. An introduction to group rings. Algebras and applications, Volume 1. Springer, 2002. ISBN 978-1-4020-0238-0
- Jacobson. Basic Algebra II. Dover. 2009. ISBN 0-486-47187-X
External links
- nLab, a wiki project on mathematics, physics and philosophy with emphasis on the n-categorical point of view
- André Joyal, CatLab, a wiki project dedicated to the exposition of categorical mathematics
- Hillman, Chris. "A Categorical Primer". CiteSeerX 10.1.1.24.3264
: formal introduction to category theory. - J. Adamek, H. Herrlich, G. Stecker, Abstract and Concrete Categories-The Joy of Cats
- Stanford Encyclopedia of Philosophy: "Category Theory"—by Jean-Pierre Marquis. Extensive bibliography.
- List of academic conferences on category theory
- Baez, John, 1996,"The Tale of n-categories." An informal introduction to higher order categories.
- WildCats is a category theory package for Mathematica. Manipulation and visualization of objects, morphisms, categories, functors, natural transformations, universal properties.
- The catsters, a YouTube channel about category theory.
- "Category Theory". PlanetMath.
- Video archive of recorded talks relevant to categories, logic and the foundations of physics.
- Interactive Web page which generates examples of categorical constructions in the category of finite sets.