Ring-opening polymerization
A polymerization in which a cyclic monomer yields a monomeric unit which is acyclic or contains fewer cycles than the monomer.
Note: If the monomer is polycyclic, the opening of a single ring is sufficient to classify the reaction as ring-opening polymerization.
Penczek S.; Moad, G. Pure Appl. Chem., 2008, 80(10), 2163-2193

In polymer chemistry, ring-opening polymerization (ROP) is a form of chain-growth polymerization, in which the terminal end of a polymer chain acts as a reactive center where further cyclic monomers can react by opening its ring system and form a longer polymer chain (see figure). The propagating center can be radical, anionic or cationic. Some cyclic monomers such as norbornene or cyclooctadiene can be polymerized to high molecular weight polymers by using metal catalysts. ROP continues to be the most versatile method of synthesis of major groups of biopolymers, particularly when they are required in quantity.
The driving force for the ring-opening of cyclic monomers is via the relief of bond-angle strain or steric repulsions between atoms at the center of a ring. Thus, as is the case for other types of polymerization, the enthalpy change in ring-opening is negative.[3]
Cyclic monomers that are polymerized using ROP encompass a variety of structures, such as:
- alkanes, alkenes,
- compounds containing heteroatoms in the ring:
- oxygen: ethers, acetals, esters (lactones, lactides, and carbonates), and anhydrides,
- sulfur: polysulfur, sulfides and polysulfides,
- nitrogen: amines, amides (lactames), imides, N-carboxyanhydrides and 1,3-oxaza derivatives,
- phosphorus: phosphates, phosphonates, phosphites, phosphines and phosphazenes,
- silicon: siloxanes, silathers, carbosilanes and silanes.
History
Ring-opening polymerization (ROP) has been used since the beginning of the 1900s in order to synthesize polymers. Synthesis of polypeptides which has the oldest history of ROP, dates back to the work in 1906 by Leuchs.[4] Many years later came the method of the ROP of anhydro sugars, providing polysaccharides, including synthetic dextran, xanthan gum, welan gum, gellan gum, diutan gum, and pullulan. Mechanisms and thermodynamics of ring-opening polymerization was further established in the 1950s.[5][6] The first high-molecular weight polymers (Mn up to 105) with a repeating unit were prepared by ROP as early as in 1976.[7] [8]
Nowadays, ROP plays an important role in industry such as production of nylon-6. ROP can introduce functional groups such as ether, ester, amide, and carbonate into the polymer main chain, which cannot be achieved by vinyl polymerization affording polymers only with C-C main chain. Polymers obtained by ROP can be also prepared by polycondensation in most cases, but following controlled radical polymerization is possible in ROP, which is difficult in polycondensation. Recently, development of novel monomers and catalysts has enabled polymer chemists to control molecular weights, structure, and configuration of the polymers precisely.[9] Cyclic carbonates undergo both cationic polymerization and anionic polymerization to afford the corresponding polycarbonates, which are expected as biocompatible and biodegradable polymers.[10] Recently, ultra high molecular weight bisphenol A polycarbonate (> 2,000 kDa) has been synthesized by ROP of a large-membered bisphenol A-based cyclic carbonate.[11] The resulted polymer can be used as engineering plastics due to its thermal stability and high impact resistance. When the reactive center of the propagating chain is a carbocation, the polymerization is called cationic ring-opening polymerization.
Mechanisms of ROP
Ring-opening polymerization can proceed via radical, anionic or cationic polymerization as described below in more details. ROP can involve metal catalysts too and is best exemplified by the polymerization of olefins while maintaining unsaturation in the resulting polymer. This mechanism is known as ring-opening metathesis polymerization (ROMP).
Radical ring-opening polymerization
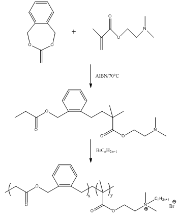
With radical ring-opening polymerization, it is possible to produce polymers of the same or lower density than the monomers. This is important for applications that require constant volume after polymerization, such as tooth fillings, coatings, and the molding of electrical and electronic components.[12] Additionally, radical ROP is useful in producing polymers with functional groups incorporated in the backbone chain that cannot otherwise be synthesized via conventional chain-growth polymerization of vinyl monomers. For instance, radical ROP can produce polymers with ethers, esters, amides, and carbonates as functional groups along the main chain.[12][13][14]
Free radical polymerization techniques have been recently developed to control radical ROPs, thereby controlling the molecular weight of the synthesized polymer chains. Reversible Addition Fragmentation Transfer (RAFT) has been applied to radical ROP of a cyclopropane monomer.[13] For instance, the RAFT polymerization of the cyclic monomer to synthesize polymers with anthracene along the backbone chain has been demonstrated.[14]
Examples of monomers that undergo radical ROP include vinyl substituted cyclic monomers, methylene substituted cyclic monomers, bicyclobutanes, spiro monomers (which undergo double ring-opening). Degradable polyester can be synthesized via radical ring-opening homo- and copolymerization.[12]
A recent hot topic among scientists has been the study of radical ROP to undergo copolymerization for the production of copolymers with ketoester linkages in the main chain. The goal is to synthesize a final copolymer that is both hydrolyzable and photodegradable.[13]
Mechanism
In free radical ROP, the cyclic structure will undergo homolytic dissociation rather than undergoing heterolytic dissociation (as is the case for any ionic ROP). There are two typical mechanistic schemes in radical ROP.
Scheme 1: The terminal vinyl group accepts a radical. The radical will be transformed into a carbon radical stabilized by functional groups (i.e. halogen, aromatic, or ester groups). This will lead to the generation of an internal olefin.

Scheme 2: In this case, the exo-methylene group is the radical acceptor. The ring-opening reaction will form an ester bond, and the radical produced is stabilized by a phenyl group.[13]

Anionic ring-opening polymerization

Anionic ring-opening polymerizations (AROP) are ring-opening polymerizations that involve nucleophilic reagents as initiators. Monomers with a three-member ring structure - such as epoxide, aziridine, and episulfide - are able to undergo anionic ROP due to the ring-distortion, despite having a less electrophilic functional group (e.g. ether, amine, and thioether). These cyclic monomers are important for many practical applications. The polarized functional group in cyclic monomers is characterized by one atom (usually a carbon) that is electron-deficient due to an adjacent atom that is highly electron-withdrawing (e.g. oxygen, nitrogen, sulfur etc.) Ring-opening will be triggered by the nucleophilic attack of the initiator to the carbon, forming a new species that will act as a nucleophile. The sequence will repeat until the polymer is formed.[13]
A typical example of anionic ROP is that of ε-caprolactone, initiated by an alkoxide functional group.[13]

Initiation
Common nucleophilic reagents used for the initiation of AROP usually will include organometals (e.g. alkyl lithium, alkyl magnesium bromide, alkyl aluminum, etc.), metal amides, alkoxides, phosphines, amines, alcohols and water. The monomers that undergo AROP will contain polarized bonds (ester carbonate, amide, urethane, and phosphate), which respectively leads to the production of the corresponding polyester, polycarbonate, polyamide, polyurethane and polyphosphate.[13]
Monomer rings that are unsymmetrically substituted will open with nucleophilic attack on the least substituted carbon atom.[12]
Propagation
The general mechanism of propagation for anionic ROP relies on the nucleophilic attack of a propagating chain end to a monomer.
Another possible mechanism for propagation is the nucleophilic attack of an activated monomer to the growing chain end. ε-caprolactam and N-carboxyanhydride undergo this kind of mechanism.[13]
Transfer and termination
Termination in AROP can be described as chain transfer reactions to monomer that is available. The active centers of AROP monomers are nucleophilic and also act as bases to abstract protons from the monomer, initiating new chains. Thus, AROP often results in low molecular-weight polymers. A possible method to increase the molecular mass of the polymer products is by adding crown ethers as complexing agents for counter-ions in the polymerization system. This causes the free-ions to preferentially add to monomer rather than abstract protons.[12]
Cationic ring-opening polymerization
Cationic ring-opening polymerization (CROP) is characterized by having a cationic initiator and intermediate. Examples of cyclic monomers that polymerize through this mechanism include lactones, lactams, amines, and ethers.[15] CROP proceeds through an SN1 or SN2 propagation, chain-growth process.[12] The predominance of one mechanism over the other depends on the stability of the resulting cationic species. For example, if the atom bearing the positive charge is stabilized by electron-donating groups, polymerization will proceed by the SN1 mechanism.[13] The cationic species is an heteroatom and the chain grows by the addition of cyclic monomers thereby opening the ring system.

Not all cyclic monomers containing an heteroatom undergo CROP. Ring size influences whether the cyclic monomer polymerize through this mechanism. For example, 4, 6 and 7-membered rings of cyclic esters polymerize through CROP.[16] When considering the ring size of the monomer, the reactivity toward polymerization is dictated by the ability to release the ring strain. Therefore, cyclic monomers with small or lacking ring strain will not polymerize.[17]
Initiation

The monomers can be activated by Bronsted acids, carbenium ions, onium ions, photoinitiators, and covalent initiators.[12]
Propagation
The cationic species is an heteroatom and the chain grows by the addition of cyclic monomers thereby opening the ring system.
In CROP, three mechanisms are distinguished by the propagating species.[12]
- When the cationic species is a secondary ion, polymerization proceeds by ring expansion. This mechanism is observed when the monomer is in low concentration.
- When it is a tertiary ion, polymerization proceeds by linear growth.
- The monomer can likewise be activated (i.e. cationic) and the propagation step will proceed via electrophilic addition of the activated monomer to the growing chain.
Termination
CROP can be considered as a living polymerization and can be terminated by intentionally adding termination reagents such as phenoxy anions, phosphines or polyanions.[12] When the amount of monomers becomes depleted, termination can occur intra or intermolecularly. The active end can "backbite" the chain, forming a macrocycle. Alkyl chain transfer is also possible, where the active end is quenched by transferring an alkyl chain to another polymer.
Ring-opening metathesis polymerization

Ring-opening metathesis polymerization (ROMP) is used for making unsaturated polymers from olefin monomers that are typically cycloalkenes or bicycloalkenes. It involves organometallic catalysts of transition metals such as W, Mo, Re, Ru, and Ti carbenes complexes.[18] Similarly, ROMP occurs for strained cyclic monomers. The enthalpy for relieving the ring strain must be very favorable for ROMP to occur because the entropy decreases during polymerization (see Gibbs free energy). Cyclic alkenes of 5, 7, and 8 member rings, for example, undergo ROMP at room temperature, whereas the 6 member ring analog does not.[12]
The mechanism for ROMP follows similar pathways as olefin metathesis. The initiation process involves the coordination of the cycloalkene monomer to the metal alkylidene complex, followed by a [2+2] type cycloaddition to form the metallacyclobutane intermediate that cycloreverts to form a new alkylidene species.[19] This species can then propagate as shown in the figure. The growing chain can be terminated by adding an alkene, usually ethyl vinyl ether, to remove the polymer from the metal catalyst.[19]

Some commercially relevant unsaturated polymers are synthesized by ROMP, such as Norsorex (polynorbornene), Vestenamer (polycyclooctene), and Metton (polycyclopentadiene).
Catalysts for ROMP
The choice of catalysts for ROMP will depend on their properties:[20]
- ability to control the polymer's molecular weight and molecular weight distribution,
- tolerance to high temperatures,
- ability to polymerize monomers with different functional groups,
- activity of the catalyst to sustain a living polymerization
Different catalysts have different properties. Choosing the most suitable catalyst depends on the intended features of the resulting polymer. For example:
- Schrock catalyst: tungsten- and molybdenum-based homogeneous catalysts provide faster initiation and good control over polydispersity and chain tacticity, but are limited by type of functional groups, thus type of monomers available.[21]
- Grubbs catalyst: slower initiation and results in higher polydispersity but it's air-stable and a wider range of functional groups can be used.[21]
Copolymerization

Copolymerization is the process of combining two polymers that are different. This is an industrial process that creates a substance that has long chains of molecules. In terms of ROP, the stoichiometric equation for copolymerization includes two or more of comonomers.
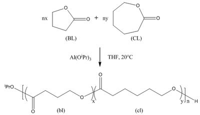
The following figure shows an example of such a copolymerization. By varying the ratio of monomers and the mode of initiation, many and varied polymers can be obtained, optimized for their use in agricultural, medicinal or pharmaceutical fields.


As an example of copolymerization of non-homopolymerizable monomers, γ-butyrolactone (BL) and ε-caprolactone (CL) show that the copolymerization provides high molar mass polymers: The BL/CL copolymer synthesis is viable despite the fact that BL monomer addition to its own –bl* active chain ends was highly reversible, as the –bl* unit could be blocked via a practically irreversible CL addition.[22][23][24]
Similarly, the earlier studies of S8 copolymerization with thiiranes (propylene sulfide; PS), at temperatures below Tf for S8 homopolymerization, revealed that the average sulfur rank in the copolymer was increased from 1 to 7 when 8[S8]0/[PS]0 ratio was increasing from 0 to 10.[25][26]
Thermodynamics
The ability of a cyclic monomer to polymerize, using ROP is determined by two integral factors: the conversion of monomer molecules into macromolecules must be allowed both thermodynamically and kinetically. By practice, this means that: (i) monomer-macromolecule equilibrium must shift to the right-hand (macromolecules) side; and (ii) the corresponding polymerization mechanism should exist, which could enable conversion of the monomer molecules into the polymer repeating units, within the operable polymerization time.
The formal thermodynamic criterion of a given monomer polymerizability is related to a sign of the free enthalpy (Gibbs free energy) of polymerization:
where x and y indicate monomer and polymer states, respectively (x and/or y = l (liquid), g (gaseous), c (amorphous solid), c’ (crystalline solid), s (solution)), ΔHp(xy) and ΔSp(xy) are the corresponding enthalpy (SI unit: joule per kelvin) and entropy (SI unit: joule) of polymerization, and T is the absolute temperature (SI unit: kelvin). The free enthalpy of polymerization (ΔGp) may be expressed as a sum of standard enthalpy of polymerization (ΔGp°) and a term related to instantaneous monomer molecules and growing macromolecules concentrations:
where R is the gas constant, M is the monomer, (m)i is the monomer in an initial state, and m* is the active monomer. Following Flory–Huggins solution theory that the reactivity of an active center, located at a macromolecule of a sufficiently long macromolecular chain, does not depend on its degree of polymerization (DPi), and taking in to account that ΔGp° = ΔHp° - TΔSp° (where ΔHp° and ΔSp° indicate a standard polymerization enthalpy and entropy, respectively), we obtain:
At equilibrium (ΔGp = 0), when polymerization is complete the monomer concentration ([M]eq) assumes a value determined by standard polymerization parameters (ΔHp° and ΔSp°) and polymerization temperature:
Polymerzation is possible only when [M]0 > [M]eq. Eventually, at or above the so-called ceiling temperature (Tc), at which [M]eq = [M]0, formation of the high polymer does not occur.
For example, tetrahydrofuran (THF) cannot be polymerized above Tc = 84 °C, nor cyclo-octasulfur (S8) below Tf = 159 °C.[27][28][29][30] However, for many monomers, Tc and Tf, for polymerization in the bulk, are well above or below the operable polymerization temperatures, respectively. The polymerization of a majority of monomers is accompanied by an entropy decrease, due mostly to the loss in the translational degrees of freedom. In this situation, polymerization is thermodynamically allowed only when the enthalpic contribution into ΔGp prevails (thus, when ΔHp° < 0 and ΔSp° < 0, the inequality |ΔHp| > -TΔSp is required). Therefore, the higher the ring strain, the lower the resulting monomer concentration at equilibrium.
See also
References
- ↑ IUPAC, Compendium of Chemical Terminology, 2nd ed. (the "Gold Book") (1997). Online corrected version: (2006–) "Ring-opening polymerization".
- ↑ Jenkins, A. D.; Kratochvíl, P.; Stepto, R. F. T.; Suter, U. W. (1996). "Glossary of basic terms in polymer science (IUPAC Recommendations 1996)". Pure and Applied Chemistry. 68 (12): 2287–2311. doi:10.1351/pac199668122287.
- ↑ Young, Robert J. (2011). Introduction to Polymers. Boca Raton: CRC Press. ISBN 978-0-8493-3929-5.
- ↑ Leuchs, H. (1906). "Glycine-carbonic acid". Ber. Dtsch. Chem. 39: 857.
- ↑ Dainton, F. S.; Devlin, T. R. E.; Small, P. A. (1955). "The thermodynamics of polymerization of cyclic compounds by ring opening". Transactions of the Faraday Society. 51: 1710. doi:10.1039/TF9555101710.
- ↑ Conix, André; Smets, G. (January 1955). "Ring opening in lactam polymers". Journal of Polymer Science. 15 (79): 221–229. doi:10.1002/pol.1955.120157918.
- ↑ Kałuz̀ynski, Krzysztof; Libiszowski, Jan; Penczek, Stanisław (1977). "Poly(2-hydro-2-oxo-1,3,2-dioxaphosphorinane). Preparation and NMR spectra". Die Makromolekulare Chemie. 178 (10): 2943–2947. doi:10.1002/macp.1977.021781017. ISSN 0025-116X.
- ↑ Libiszowski, Jan; Kałużynski, Krzysztof; Penczek, Stanisław (June 1978). "Polymerization of cyclic esters of phosphoric acid. VI. Poly(alkyl ethylene phosphates). Polymerization of 2-alkoxy-2-oxo-1,3,2-dioxaphospholans and structure of polymers". Journal of Polymer Science: Polymer Chemistry Edition. 16 (6): 1275–1283. doi:10.1002/pol.1978.170160610.
- ↑ Luck, edited by Rajender K. Sadhir, Russell M. (1992). Expanding Monomers: Synthesis, Characterization, and Applications. Boca Raton, Florida: CRC Press. ISBN 9780849351563.
- ↑ Matsumura, Shuichi; Tsukada, Keisuke; Toshima, Kazunobu (May 1997). "Enzyme-Catalyzed Ring-Opening Polymerization of 1,3-Dioxan-2-one to Poly(trimethylene carbonate)". Macromolecules. 30 (10): 3122–3124. doi:10.1021/ma961862g.
- ↑ Sugiyama, J; R. Nagahata; M. Goyal; M. Asai; M. Ueda; K. Takeuchi (1998). ACS Polymer Preprints. 1. 40: 90. Missing or empty
|title=(help) - 1 2 3 4 5 6 7 8 9 10 Nuyken, Oskar; Stephen D. Pask (25 April 2013). "Ring-Opening Polymerization—An Introductory Review". Polymers. 5: 361–403. doi:10.3390/polym5020361.
- 1 2 3 4 5 6 7 8 9 10 Dubois, Philippe (2008). Handbook of ring-opening polymerization (1. Aufl. ed.). Weinheim: Wiley-VCH. ISBN 978-3-527-31953-4.
- 1 2 Mori, Hideharu; Shigeki Masuda; Takeshi Endo (July 20, 2006). "Ring-Opening RAFT Polymerization Based on Aromatization as Driving Force: Synthesis of Well-Defined Polymers Containing Anthracene Units in the Main Chain". Macromolecules. 39: 5976–5978. doi:10.1021/ma0612879.
- ↑ Cowie, John McKenzie Grant (2008). Polymers: Chemistry and Physics of Modern Materials. Boca Raton, Florida: CRC Press. pp. 105–107. ISBN 978-0-8493-9813-1.
- ↑ Stridsberg, Kajsa M. (2000). Controlled ring-opening polymerization : polymers with designed macromolecular architecture. Stockholm: Tekniska högsk. ISBN 91-7170-522-8.
- ↑ Joseph C. Salamone, ed. (1996). Polymeric materials encyclopedia. Boca Raton: CRC Press. p. 1931. ISBN 0-8493-2470-X.
- ↑ Arrighi, J.M.G. Cowie, Valeria (2007). Polymers chemistry and physics of modern materials (3rd ed / J. M. G. Cowie and Valeria Arrighi ed.). Boca Raton: Taylor & Francis. pp. 181–183. ISBN 978-0-8493-9813-1.
- 1 2 Sutthasupa, Sutthira; Shiotsuki, Masashi; Sanda, Fumio (13 October 2010). "Recent advances in ring-opening metathesis polymerization, and application to synthesis of functional materials". Polymer Journal. 42 (12): 905–915. doi:10.1038/pj.2010.94.
- ↑ Hartwig, John F. (2010). Organotransition metal chemistry : from bonding to catalysis. Sausalito, California: University Science Books. ISBN 9781891389535.
- 1 2 Boothe, Paul. "Ring-opening metathesis polymerization". All things metathesis. Retrieved 14 February 2014.
- ↑ Duda, Andrzej; Penczek, Stanislaw; Dubois, Philippe; Mecerreyes, David; Jérôme, Robert (April 1996). "Oligomerization and copolymerization of γ-butyrolactone — a monomer known as unable to homopolymerize, 1. Copolymerization with ɛ-caprolactone". Macromolecular Chemistry and Physics. 197 (4): 1273–1283. doi:10.1002/macp.1996.021970408.
- ↑ Ubaghs, Luc; Waringo, Michel; Keul, Helmut; Höcker, Hartwig (September 2004). "Copolymers and Terpolymers of Tetramethylene Urea, γ-Butyrolactone, and Ethylene Carbonate or 1,2-Propylene Carbonate". Macromolecules. 37 (18): 6755–6762. doi:10.1021/ma049668e.
- ↑ Agarwal, Seema; Xie, Xiulan (May 2003). "SmI/Sm-Based γ-Buyrolactone−ε-Caprolactone Copolymers: Microstructural Characterization Using One- and Two-Dimensional NMR Spectroscopy". Macromolecules. 36 (10): 3545–3549. doi:10.1021/ma0258713.
- ↑ PENCZEK, STANISŁAW; ŚLAZAK, ROMUALD; DUDA, ANDRZEJ (29 June 1978). "Anionic copolymerisation of elemental sulphur". Nature. 273 (5665): 738–739. doi:10.1038/273738a0.
- ↑ Duda, Andrzej; Penczek, Stanislaw (January 1982). "Anionic copolymerization of elemental sulfur with propylene sulfide". Macromolecules. 15 (1): 36–40. doi:10.1021/ma00229a007.
- ↑ Tobolsky, A. V. (July 1957). "Equilibrium polymerization in the presence of an ionic initiator". Journal of Polymer Science. 25 (109): 220–221. doi:10.1002/pol.1957.1202510909.
- ↑ Tobolsky, A. V. (August 1958). "Equilibrium polymerization in the presence of an ionic initiator". Journal of Polymer Science. 31 (122): 126–126. doi:10.1002/pol.1958.1203112214.
- ↑ Tobolsky, Arthur V.; Eisenberg, Adi (May 1959). "Equilibrium Polymerization of Sulfur". Journal of the American Chemical Society. 81 (4): 780–782. doi:10.1021/ja01513a004.
- ↑ Tobolsky, A. V.; Eisenberg, A. (January 1960). "A General Treatment of Equilibrium Polymerization". Journal of the American Chemical Society. 82 (2): 289–293. doi:10.1021/ja01487a009.