Floctafenine
![]() | |
| Clinical data | |
|---|---|
| AHFS/Drugs.com | International Drug Names |
| ATC code | N02BG04 (WHO) |
| Identifiers | |
| |
| CAS Number | 23779-99-9 |
| PubChem (CID) | 3360 |
| DrugBank |
DB08976 |
| ChemSpider | 3243 |
| ECHA InfoCard | 100.041.696 |
| Chemical and physical data | |
| Formula | C20H17F3N2O4 |
| Molar mass | 406.355 g/mol |
| 3D model (Jmol) | Interactive image |
| |
| |
Floctafenine is a non-steroidal anti-inflammatory drug (NSAID).
Synthesis

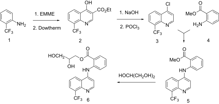
The scheme involves first the conversion of ortho-trifluoromethyl aniline (1) to a quinolol. The compound is thus condensed with EMME (Ethoxy Methylene Malonic Diethyl Ester) and cyclized thermally (2). That intermediate is then saponified; the resulting acid is decarboxylated and finally converted to the 4-chloroquinoline (3) by reaction with phosphorus oxychloride. The displacement of chlorine with methyl anthranilate (4) then affords the coupled intermediate (5). An ester interchange of that product with glycerol leads to the glyceryl ester. There is thus obtained the NSAID floctafenine.
See also
- Glafenine, a chemically related NSAID
References
- ↑ Mouzin, G.; Cousse, H.; Autin, J. M. (1980). "A New, Convenient Synthesis of Glafenine and Floctafenine". Synthesis. 1980: 54. doi:10.1055/s-1980-28923.
This article is issued from Wikipedia - version of the 11/28/2016. The text is available under the Creative Commons Attribution/Share Alike but additional terms may apply for the media files.
